Страница: 8/8
Следовательно, будем иметь:
.
5. ПЕРЕДАТОЧНЫЕ ФУНКЦИИ ДЛЯ СХЕМЫ ИЗМЕРЕНИЯ ПО
КАНАЛУ ИЗМЕРЕНИЯ ТЕМПЕРАТУРЫ И ПО КАНАЛУ ПЕРЕМЕЩЕНИЯ ДВИЖКА РЕОХОРДА (ПО ЦЕПИ ОБРАТНОЙ СВЯЗИ)
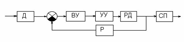
Измерение и запись температуры производятся следующим образом. Изменение сопротивления терморезистора
нарушает равновесие мостовой схемы, и в диагонали АВ моста возникает напряжение рассогласования, которое поступает на входной трансформатор, затем усиливается усилительным устройством (УУ) до значения, достаточного для приведения в действие реверсивного двигателя (РД). Выходной вал двигателя, вращаясь в ту или иную сторону в зависимости от знака сигнала рассогласования, перемещает движок реохорда и перо самописца (СП). При достижения равновесия мостовой схемы выходной вал двигателя останавливается, а движок реохорда, указатель и перо самописца занимают положение, соответствующее измеряемому сопротивлению термометра, а следовательно, температуре измеряемого объекта.
Здесь датчик представляет собой апериодичекое звено первого порядка передаточная функция которого равна:
.
Так же апериодическими звеньями являются: входное устройство (трансформатор), перо самописца, реверсивный двигатель и реохорд (Р), передаточные функции которых равны:
, для входного устройства (ВУ),
, для реверсивного двигателя,
, для реохорда,
, для пера самописца.
УУ – представляет собой безинерционное передаточное звено с передаточной функцией
.
Передаточная функция для схемы измерения по каналу измерения температуры равна:
,
а передаточная функция по каналу перемещения движка реохорда
.

6. СТРУКТУРНО-ФУНКЦИОНАЛЬНАЯ СХЕМА РАБОТЫ АВТОМАТИЧЕСКОГО МОСТА

ИСПОЛЬЗУЕМАЯ ЛИТЕРАТУРА
1. Теплотехнические измерения и приборы. В.П. Преображенский. Издательство «Энергия», 1978 г.
2. Электрические измерения. Учебник для вузов. Под ред. А.В. Фремке.
Издательство «Энергия», 1980 г.
3. Основы метрологии и электрические измерения. . Учебник для вузов. Под ред. Е.Д. Душина. Издательство «Энергия», 1980 г.
Реферат опубликован: 30/05/2009